Integral substitusi by zero maker tuesday september 13 2016 integral dengan teknikmetode substitusi digunakan ketika proses pengintegralan tidak bisa diselesaikan dengan rumus rumus dasar integral atau seandainya bisa diselesaikan namun akan memerlukan proses yang cukup panjang. Untuk soal nomor 3 masih bisa disederhanakan dengan memanfaatkan aturan fungsi hiperbolik.
Pelajaran Soal Rumus Integral Substitusi Trigonometri
Penyelesaian soal nomor 3.
Contoh soal integral substitusi trigonometri. Berikut ini materi lengkap tentang integral substitusi dan integral parsial mulai dari konsep dasar teknik tekniknya rumus contoh soal pembahasan. Contoh soal integral substitusi trigonometri dan jawaban lengkap menguasai rumus dan cara menyelesainkan turunan dari semua fungsi trigonometri ini haruslah sahabat kuasai demi memperlancar kalian dalam menjawab soal un nanti. Kumpulan soal mudah sedang sukar.
Soal dan pembahasan integral fungsi aljabar. Di sini kamu akan belajar tentang integral substitusi trigonometri melalui video yang dibawakan oleh bapak anton wardaya. Teknik integral substitusi trigonometri secara khusus digunakan jika ada bentuk sqrta2 b2x2 sqrta2 b2x2 dan bentuk sqrta2x2 b2.
Nah pelajaran ini akan kalian temukan di materi kelas 12 sma ipa dimana ini akan pasti keluar di un dengan jumlah yang mungkin saja tidak begitu banyak. Penyelesaian soal nomor 1. Integran terdiri dari dua fungsi dimana salah satu fungsi merupakan turunan dari fungsi yang lainnya.
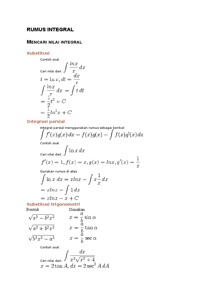
Untuk lebih memahami berikut adalah 3 contoh soal integral yang penyelesaiannya menggunakan substitusi trigonometri. Soal dan pembahasan integral metode substitusi posted by edutafsi on 22 april 2015 151 pm metode substitusi merupakan metode penyelesaian integral dengan mengubah bentuk fungsi menjadi lebih sederhana dalam bentuk variabel tertentu yang saling berhubungan dan ditandai dengan adanya pemisalan. Teknik integral ini kita gunakan biasanya jika teknik integral substitusi aljabar maupun teknik integral parsial tidak bisa menyelesaikan soal integralnya.
Integran merupakan perkalian dua fungsi trigonometri. Teknik substitusi yang dilakukan untuk bentuk fungsi trigonometri ini sama dengan teknik substitusi yang dibahas sebelumnya. Pola rumus yang digunakan untuk soal soal integral trigonometri dengan teknik substitusi diantaranya.
Bentuk umum teknik substitusi untuk integral seperti ini adalah. Penyelesaian soal nomor 2. Kamu akan diajak untuk memahami materi hingga metode menyelesaikan soal.
Pelajaran Soal Rumus Integral Substitusi Trigonometri
Soal Integral Substitusi Fungsi Trigonometri
Integral Substitusi Trigonometri Xii Ipa Berbagi M Th
Teknik Integral Substitusi Trigonometri Pendidikan
Pelajaran Soal Rumus Integral Substitusi Trigonometri
Soal Dan Pembahasan Integral Metode Substitusi Trigonometri
Integral Substitusi Belajar Matematika Online
Teknik Integral Substitusi Fungsi Trigonometri
Integral Substitusi Integral Parsial Materi Rumus
Teknik Integral Substitusi Fungsi Trigonometri
Matematika Lanjutan Kalkulus 2 18 Teknik Integral Substitusi Trigonometri Part 2
Matematika Lanjutan Kalkulus 2 16 Teknik Integral Substitusi Trigonometri Dan Contoh Sederhana
Contoh Soal Integral Trigonometri Pengertian
Soal Dan Pembahasan Integral Metode Substitusi Trigonometri
Semesta Matematika Integral Substitusi Trigonometri
Matematika 2 Slide Week 3 Integral Substitusi Trigonometrik
Soal Dan Pembahasan Integral Metode Substitusi Trigonometri
Integral Trigonometri Contoh Soal Genggam Internet
Contoh Soal Integral Substitusi Kumpulan Soal Pelajaran 6
Soal Integral Substitusi Trigonometri Kelas Xii Ipa
Teknik Integral Substitusi Trigonometri Pendidikan
Soal Dan Pembahasan Integral Tertentu Fungsi Trigonometri 1
Contoh Soal Integral Tentu Tak Tentu Substitusi Parsial
M202 Kalkulus Rumus Integral Dan Metode Integral Part B Metode Substitusi Trigonometri
Ruang Belajar Siswa Kelas 1 May 1973
Teknik Integral Substitusi Fungsi Trigonometri
Contoh Soal Integral Substitusi Rumusrumus Com
Soal Dan Pembahasan Integral Metode Substitusi Trigonometri
Ruang Belajar Siswa Kelas 1 Contoh Soal Integral Substitusi
Matematika 2 Slide Week 3 Integral Substitusi Trigonometrik
Integral Substitusi Integral Parsial Materi Rumus
Rumus Integral Trigonometri Rumushitung Com
Contoh Soal Integral Tentu Tak Tentu Substitusi Parsial
Teknik Integral Substitusi Trigonometri Pendidikan
12 Integral Substitusi Trigonometri
Soal Jawab Integral Substitusi Trigonometri Bentuk Sin Teta
Soal Dan Pembahasan Integral Tertentu Fungsi Trigonometri 1
Rangkuman Dan Contoh Soal Teknik Pengintegralan
Matematika Itu Asyik Rumus Rumus Integral Dengan Berbagai
Integral Trigonometri Un Matematika Sma
Integral Teknis Substitusi Trigonometri
Contoh Soal Integral Substitusi Trigonometri Dengan Mudah Matematika 12
Teknik Integral Substitusi Fungsi Trigonometri
Integral Substitusi Trigonometri For Android Apk Download
Soal Dan Pembahasan Integral Tertentu Fungsi Trigonometri 1
Integral Substitusi Trigonometri For Android Apk Download
Cara Menyelesaikan Integral Parsial Trigonometri
Rumus Integral Substitusi Contoh Soal Beserta Pembahasannya
Matematika Sma Integral Parsial Teknik Tanzalin
Soal Dan Pembahasan Integral Metode Substitusi Trigonometri
Pengertian Rumus Integral Substitusi Integral Parsial
Integral Trigonometri Rumus Integral Cos Soal Pembahasan
Teknik Integral Substitusi Fungsi Trigonometri
Web Viewcontoh Soal Integral Substitusi Trigonometri
Integral Substitusi Trigonometri For Android Apk Download
Contoh Soal Integral Tentu Tak Tentu Substitusi Parsial
Inilah Soal Dan Pembahasan Integral Substitusi Trigonometri
Rumus Integral Parsial Dan Contoh Soal Beserta Pembahasannya
Soal Dan Pembahasan Integral Metode Substitusi Trigonometri
Integral Trigonometri Un Matematika Sma
Penyelesaian Integral Fungsi Khusus Dengan Subtitusi
Matematika Lanjutan Kalkulus 2 16 Teknik Integral
Integral Substitusi Trigonometri Programu Zilizo Kwenye
Pdf Pertemuan 12 Pokok Pembahasan Teknik Pengintegralan
Integral Substitusi Trigonometri For Android Apk Download
Pelajari Konsep Dasar Integral Dalam Penyelesaian Masalah
Integral Tak Tentu Integrasi Fungsi Pecah Ppt Download
Integral Integral Tentu Tak Tentu Substitusi Parsial
Contoh Soal Integral Substitusi Zona Ilmu 5
Rumus Integral Trigonometri Dan Penyelesaian Genggam Internet
Soal Jawab Integral Substitusi Trigonometri Sinus Pangkat 5
Unduh Integral Substitusi Trigonometri Apk Versi Terbaru 3 0
Pelajaran Soal Rumus Integral Fungsi Pecahan Wardaya
Rangkuman Contoh Soal Dan Pembahasan Integral Parsial Sma
5 Contoh Soal Integral Tentu Tak Tentu Substitusi
Latihan Soal Integral Subtitusi Trigonometri Vidya
Rumus Integral Substitusi Contoh Soal Beserta Pembahasannya
Integral Trigonometri Un Matematika Sma
Soal Dan Pembahasan Integral Trigonometri 1 5 Istana
Matematika Sma Integral Parsial
Modul Vii Metode Integrasi Ppt Download
Soal Integral Fungsi Trigonometri
Integral Substitusi Trigonometri Programu Zilizo Kwenye
Matematika 2 Slide Week 3 Integral Substitusi Trigonometrik
V3 Integral Substitusi Trigonometri Bu Atik Belajar Matematika Matematika Kelas 12 Ipa
Integral Substitusi Integral Parsial Materi Rumus
Integral Trigonometri Rumus Integral Cos Soal Pembahasan
Contoh Soal Dan Pembahasan Integral Bentuk Pecahan Kalkulus
Integral Substitusi Trigonometri
Rumus Integral Parsial Dan Contoh Soal Beserta Pembahasannya
Soal Dan Pembahasan Integral Dengan Metode Substitusi
Integral Integral Tentu Tak Tentu Substitusi Parsial
Rumus Integral Trigonometri Dan Cara Menentukannya Lengkap
Integral Trigonometri Un Matematika Sma
Contoh Soal Dan Pembahasan Integral Trigonometri

Tidak ada komentar:
Posting Komentar