Buat sobat hitung jangan lupa ikhtiar doa dan restu orang tua biar sukses ujian nasionalnya. Soal soalnya dikumpulkan penulis dari berbagai sumber.
Kumpulan Soal Limit Fungsi Trigonometri
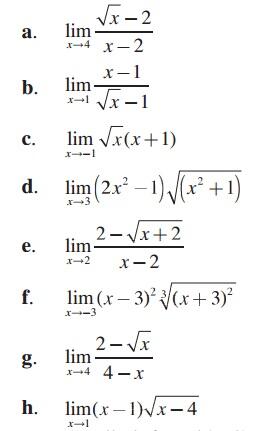
Berikut ini adalah contoh soal dan pembahasan mengenai limit fungsi aljabar dan trigonometri.
Contoh soal limit akar trigonometri. Saya juga berencana untuk membuat artikel tersendiri yang berkaitan dengan limit tak hingga fungsi trigonometri karena soal bentuk ini keluar pada sbmptn 2017 matematika ipa. Limit trigonometri jika pada ulasan sebelumnya telah kita bahas seputar identitas trigonometri untuk pembahasan kali ini kami akan mengulas tentang materi limit fungsi trigonometri rumus limit fungsi beserta contoh soal perhitungan limit dan cara menghitungnya yang benar dan tepatbagi sebagian orang mungkin masih kebingungan jika dihadapkan dengan soal limit trigonometri ini. Limit trigonometri adalah nilai terdekat suatu sudut pada fungsi trigonometri.
Perhitungan limit fungsi trigonometri bisa langsung disubtitusikan seperti limit fungsi aljabar tetapi ada fungsi trigonometri yang harus diubah terlebih dahulu ke identitas trigonometri untuk limit tak tentu yaitu limit yang apabila kita langsung subtitusikan nilai nya bernilai 0. Pertama kita akan coba kerjakan menggunakan substitusi seperti yang dijelaskan pada tips mengerjakan limit. Soal soalnya dikumpulkan penulis dari berbagai sumber.
Coba lihat salah satu contoh yang saya buat pada artikel penyelesaian limit fungsi trigonometri contoh soal nomor 4 bagian a. Kami yakin soal limit sudah hampir bisa dipastikan akan muncul dalam soal ujian nasional 2014. Contoh soal 2 limit fungsi triginometri un matematika tahun 2014 nilai dari.
Namun dipertemuan sebelumnya kami telah membahas mengenai contoh soal fungsimari kita pelajari dengan seksama penjelasan lengkapnya berikut ini. Contoh soal 1 limit fungsi trigonometri. Limit matematika tak terasa ujian nasional kurang dari sebulan lagi.
Contoh soal limit materi makalah pembahasan kali ini mengenai contoh soal limit beserta pengertian sifat sifat limit teorima limi dan contoh soalnya. Rumus berikut untuk menyelesaikan soal soal limit trigonometri yang masih dasar dasar. Rumuscoid setelah sebelumnya kita membahas tentang rumus persamaan nilai mutlak kali ini kita akan membahas materi tentang rumus limit matematika kita akan jabarkan secara detail dan lengkap dari pengertian limit teorema limit rumus beserta contoh soal dan pembahasannya.
Kumpulan Soal Limit Fungsi Trigonometri
Contoh Soal Limit Akar Zona Ilmu 5
Contoh Soal Limit Akar Contoh Soal Dan Contoh Pidato Lengkap
Soal Dan Pembahasan Limit Tak Hingga Bentuk Akar 1 3
Contoh Soal Limit Kumpulan Soal Pelajaran 3
Contoh Soal Limit Trigonometri Tak Hingga Pdf Crimsontotal
Kumpulan Soal Limit Fungsi Trigonometri
Rumus Limit Matematika Fungsi Tak Hingga Contoh Soal
Soal Dan Pembahasan Limit Fungsi Aljabar Dan Trigonometri 1
Limit Tak Hingga Trigonometri Polinomial Pecahan Eksonensial
Crazzy Math Tips Limit Tak Tentu Aljabar Trigonometri
Soal Limit Fungsi Trigonometri
Limit Fungsi Pengertian Rumus Dan Contoh Soalnya Lengkap
Pembahasan Sbmptn 2017 Limit Tak Hingga Trigonometri
Limit Tak Hingga Trigonometri Polinomial Pecahan Eksonensial
Tips Dan Trik Mengerjakan Soal Limit Trigonometri
Soal Dan Pembahasan Limit Trigonometri 1 3 Istana Mengajar
Contoh Soal Integral Tentu Tak Tentu Substitusi Parsial
Bank Soal Dan Pembahasan Matematika Dasar Limit Fungsi
Rumus Cepat Dalam Mengerjakan Limit Tak Hingga
Rumus Limit Matematika Fungsi Tak Hingga Contoh Soal
Soal Dan Pembahasan Limit Trigonometri 1 3 Istana Mengajar
Contoh Ke 1 Limit Fungsi Trigonometri
Soal Limit Fungsi Trigonometri
Limit Fungsi Aljabar Materi Rumus Metode Contoh Soal
Contoh Soal Limit Fungsi Aljabar Bentuk Akar Materisekolah
Limit Fungsi Trigonometri Matematika Peminatan Kelas Xii
Contoh Soal Limit Fungsi Contoh Soal Dan Contoh Pidato Lengkap
Soal Dan Pembahasan Limit Fungsi Aljabar Dan Trigonometri
Rumus Dan Limit Fungsi Trigonometri Dan Contoh Soal Lengkap
Contoh Soal Limit Fungsi Pemfaktoran Archives Dosen Mipa
Bank Soal Dan Pembahasan Matematika Dasar Limit Tak Hingga
Cara Untuk Menentukan Limit Fungsi Trigonometri
Limit Trigonometri Rumushitung Com
Limit Fungsi Aljabar Definisi Sifat Metode
Rumus Dan Limit Fungsi Trigonometri Dan Contoh Soal Lengkap
Kumpulan Soal Limit Fungsi Trigonometri
10 Soal Dan Pembahasan Limit Fungsi Trigonometri
Pelajaran Soal Rumus Limit Mengalikan Sekawan Wardaya
Limit Trigonometri Pengertian Rumus Identitas Fungsi
Contoh Limit Fungsi Aljabar Menggunakan Cara Langsung Cara
Bentuk Akar Pengertian Materi Sifat Dan Contoh Soal
Rangkuman Contoh Soal Pembahasan Limit
Limit Trigonometri Rumushitung Com
Cara Mengerjakan Turunan Fungsi Trigonometri
Asimtot Tegak Dan Mendatar Fungsi Trigonometri
Cara Menyelesaikan Soal Limit Fungsi Aljabar Lengkap Dengan
Soal Limit Fungsi Trigonometri
Limit Fungsi Trigonometri Contoh Soal Dan Cara Menghitung
Rangkuman Contoh Soal Pembahasan Limit
Cara Cepat Limit Trigonometri Kumpulan Soal Smotret Video
24 Menentukan Limit Di Ketakhinggaan Fungsi Trigonometri 325
Limit Fungsi Aljabar Trigonometri Pengertian Rumus
Rumus Cara Menentukan Limit Tak Hingga
Limit Fungsi Aljabar Materi Rumus Metode Contoh Soal
Pelajaran Soal Rumus Limit Mengalikan Sekawan Wardaya
Mtk Wajib Limit Pptx Menentukan Limit Fungsi Aljabar 1
Asimtot Tegak Dan Mendatar Fungsi Trigonometri Konsep
Contoh Soal Limit Trigonometri Tak Hingga Pdf Crimsontotal
Rumus The King Limit Fungsi Trigonometri Belajar Tumbuh
Tips Mengerjakan Soal Limit Fungsi Aljabar Bentuk Tak Tentu
Limit Fungsi Aljabar Materi Rumus Metode Contoh Soal
Contoh Soal Limit Matematika Fungsi Tak Hingga Dan
Mita Pustari On Twitter Untuk Latihan Soal Limit Fungsi
Soal Dan Pembahasan Limit Tak Hingga Bentuk Akar 1 3
Soal Matematika Limit Trigonometri Part 13 Pembahasan Soal
Turunan Pembahasan Dan Contoh Soal Matematika
Kumpulan Soal Limit Fungsi Trigonometri
Cara Praktis Menyelesaikan Soal Limit Trigonometri Ilmu Hitung
Kumpulan Soal Matematika Limit Akar Sekawan Gupak Com
Bank Soal Dan Pembahasan Matematika Dasar Limit Fungsi
Contoh Soal Limit Trigonometri Tak Hingga Pdf
Rangkuman Matematika Wajib Trigonometri Dan Limit Fungsi
Turunan Matematika Materi Aljabar Trigonometri
Solusi Super Menyelesaikan Limit Fungsi Trigonometri Buat
Limitfungsi Instagram Posts Gramho Com
Soal Limit Fungsi Aljabar Pecahan Bentuk Akar Kelas X
Soal Limit Fungsi Trigonometri Brainly Co Id
Aturan Rantai Pada Turunan Trigonometri Marthamatika
Model Pembelaj Limit Dan Turunan Sma Xi Ia
Limit Fungsi Trigonometri Contoh Soal Dan Cara Menghitung
Contoh Ke 5 Limit Fungsi Trigonometri
Contoh Soal Limit Akar Ilmu Pengetahuan Populer 1
What Is Adobe Acrobat Assistant 8 0 Colqpassion S Diary
Cara Cepat Limit Trigonometri Kumpulan Soal Pakvim Net Hd
Limitfungsi Instagram Posts Gramho Com
Rumus Cara Menentukan Limit Tak Hingga
Belajar Matematika Materi Limit
Rangkuman Contoh Soal Pembahasan Limit







Tidak ada komentar:
Posting Komentar